Алматы қаласы Білім басқармасының
«№88 жалпы білім беретін мектеп»
коммуналдық мемлекеттік мекемесі
Қабылдау бөлімі :
+7(727) 2-99-07-04
Есепші бөлімі:
+7(727) 2-69-72-07
eOtinish.kz
eotinish.kz
Нашар көрушілер
нұсқасы
Кіру
Қазақша
|
Русский
kitaphana.edu.kz
digitallibrary.kz
bookfund.kz
Басты
Президент жолдауы
Мемлекеттік рәміздер
Ақпарат
Аттестация
Біз туралы
Әдістемелік жұмыстар
Жетістіктеріміз
Кітапхана
Тарихымыз
Әкімшілік
Нормативтік құжаттар
ТВ-Видео
Мұғалімдер
Іс-шаралар
Оқушыларға
Сабақ кестесі
ҰБТ
Оқушылар жетістіктері
Ата-аналарға
Тамақтандыру
Ашық конкурс
Қызметті қаржыландыру жоспары
Тамақтандырудың сапалық мониторингі
Келісім шарттары
Ашық бюджет
Жеке қаржыландыру жоспары
Қаржылық қызметтің негізгі көрсеткіштері
Мемлекеттік сатып алу жоспары
Кіріс және шығыс есебі
Бекітілген бюджет
Ашық орган
Жемқорлыққа қарсы күрес
Қамқоршылық кеңес
Мемлекеттік қызмет
Регламент
Стандарттары
Байланыс
Табу
КГУ «Общеобразовательная школа №88» Управления образования города Алматы
»
Ашық бюджет
»
Мемлекеттік сатып алу жоспары
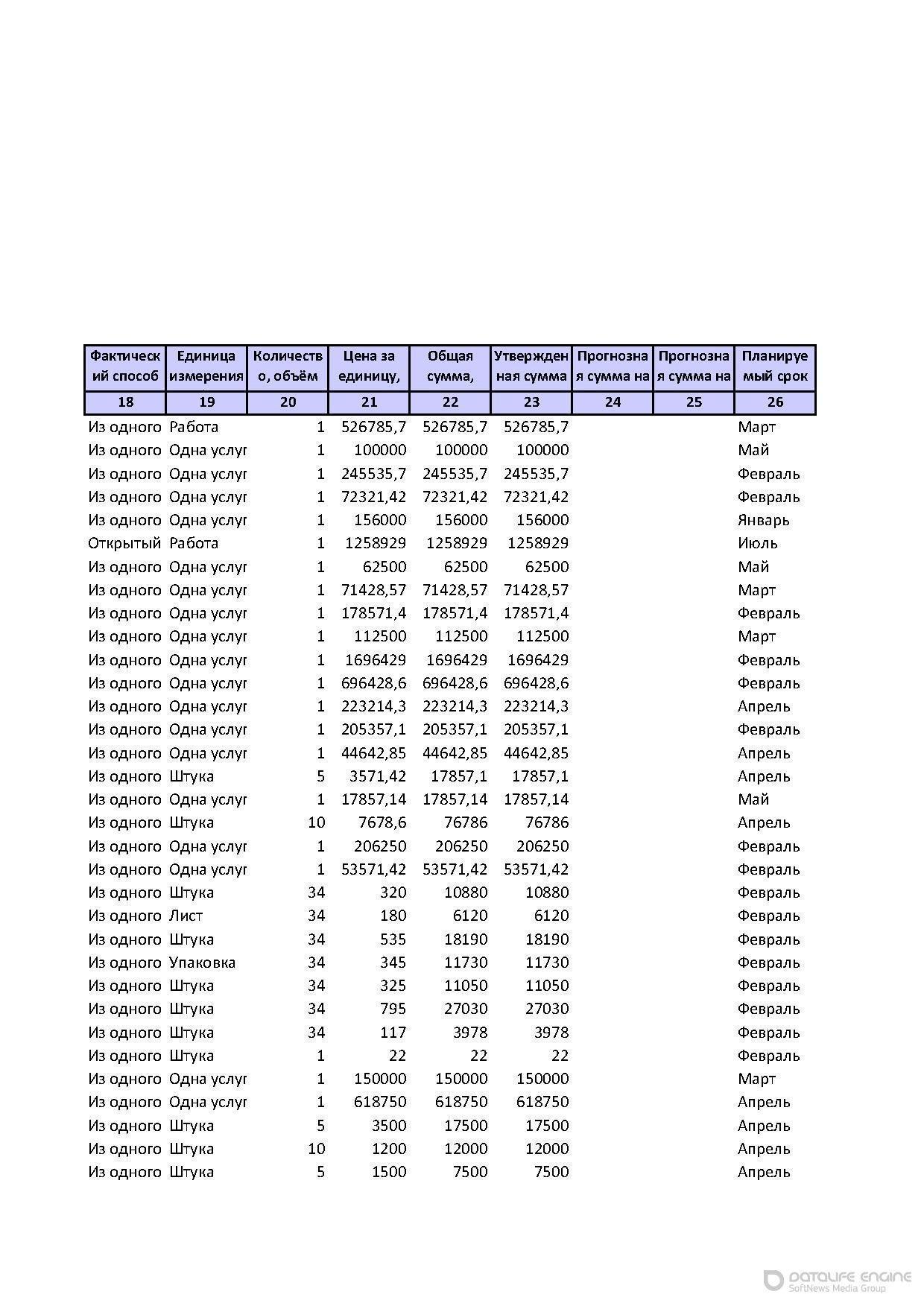
» Годовой план ГЗ 2018
28
ноябрь
2018
0
1
2
3
4
5
Годовой план ГЗ 2018
Похожие публикации:
01 ноябрь 2018
Основные показатели финансовой деятельности организации образования
10 октябрь 2018
Қамқоршылық кеңес 2018-2019 оқу жылы
08 октябрь 2018
Жол жүру ережесін сақтау!
18 сентябрь 2018
Қоңырау кестесі 2018-2019 оқу жылы
Авторизация
Войти на сайт
Чужой компьютер
Забыли пароль?
Регистрация